服务热线
0769-28680919
153-2293-3971 / 177-0769-6579
1 概述
机器视觉镜头透镜由于制造精度以及组装工艺的偏差会引入畸变,导致原始图像的失真,即图像畸变。
在前一篇文章《机器视觉模型——投影矩阵》中描述了机器视觉系统成像模型,在这个模型里包含了相机内参(与像元尺寸、焦距、像素中心有关)以及相机外参(与相机在世界坐标系的位姿有关),这个模型是一个理想模型,或者说线性模型,没有考虑到镜头透镜产生的畸变所带来的影响。
结合上文成像模型,可以把畸变理解成像点和物点之间的光线是弯曲的,如下图所示。

图中本来应该共线的三个点O、P、Q,现在由于透镜的某种偏差原因而不共线了,Pcrt被成像在了P点,很明显,此时的关系不再是前文讨论的矩阵关系了,也就是说,在畸变存在的条件下,用前文的矩阵公式计算出来的结果是不正确的。
所以,在用这个视觉模型矩阵公式前,需要先把产生的畸变消除掉,与前文同样原理,如果透镜畸变能用一个数学模型或者数学公式来表达,我们就可以很方便地消除畸变,我们把这个模型称为“畸变模型”。
2 透镜的畸变
透镜的畸变主要包括:径向畸变、切向畸变、薄透镜畸变等等,但最显著的是径向畸变和切向畸变,所以我们这个模型里只考虑这两种畸变。同时,图像的畸变是两种畸变的组合,因此把整个畸变分解为径向畸变分量和切向畸变分量。
2.1 径向畸变
径向畸变:就是沿着透镜半径方向分布的畸变,如我们所熟知的鱼眼镜头产生的畸变、枕形畸变、桶形畸变等。


下图为径向畸变的分布,一般越远离中心越严重。


2.2 切向畸变
切向畸变:是由于透镜本身与相机传感器平面(像平面)或图像平面不平行而产生的,这种情况多是由于透镜被粘贴到镜头模组上的安装偏差导致,如下图所示。


随着相机制造工艺的大大提升,这种情况很少出现了,所以很多时候已经可以不考虑切向畸变。
下图为切向畸变的分布


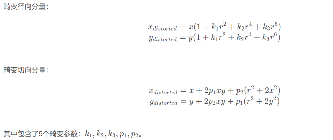
3 机器视觉畸变模型
综上,可以得到机器视觉系统透镜畸变模型如下

对于一个给定的镜头成像系统,这5个畸变参数怎么获得?这就涉及到“相机标定”,即需要根据一系列已知的若干对原成像点与畸变成像点的坐标值,带入以上公式来解出,具体的限于篇幅这里不详细讨论。
————————————————
版权声明:本文为CSDN博主「寒韩Glory」的原创文章,遵循CC 4.0 BY-SA版权协议,转载请附上原文出处链接及本声明。
原文链接:https://blog.csdn.net/hangl_ciom/article/details/106252235
FPC点胶宽度视觉检测系统
2025-12-28
FPC点胶宽度视觉检测系统 属于视觉检测/测量范畴,其核心目的是对点胶工艺的结果(胶路的宽度、高度、连续性、位置等)进行自动化、高精度的量化检测,以确保产品质量和工艺稳定性。
FPC点胶胶路纠偏视觉系统
2025-12-28
该系统旨在解决柔性电路板点胶过程中,因FPC来料位置偏差、治具装夹误差、热膨胀变形等因素导致的点胶路径不准确问题。通过机器视觉实时“看”到FPC上的基准特征,并与预设的“理论位置”进行比对,计算出偏移量(X, Y, θ),然后动态修正点胶头的运动路径,确保胶水精确涂敷在目标位置上。
康耐德智能FPC胶路阻挡物视觉检测
2025-12-21
康耐德智能FPC胶路阻挡物视觉检测
FPC点胶表面缺陷视觉检测系统
2025-12-14
FPC点胶表面缺陷视觉检测系统的核心目标是对点胶工艺后的结果进行自动化、高精度的质量评估,确保胶水的形态、尺寸、位置和连续性符合工艺标准。
官方公众号
官方抖音号Copyright © 2022 香港2025年六台盒宝典下载版权所有.机器视觉系统 粤ICP备2022020204号-1 联系我们 | 网站地图